รูปสี่ การพึ่งพาเวลาของเมทริกซ์แลตทิซคงที่ได้จากการวัดค่าอุณหภูมิ 700 XRD ในแหล่งกำเนิด ◦ เราสังเกตการลดลงอย่างน่าเบื่อหน่ายในค่าพารามิเตอร์ของแลตทิซพบว่าองค์ประกอบหนักเช่น NB และโมค่อยๆแพร่กระจายจากของแข็ง-ของแข็งและเมทริกซ์ที่เป็นประโยชน์ต่อนิวเคลียสและการเจริญเติบโตของδเฟส รายงานความไม่แน่นอนในภาพนี้เช่นกัน เว้นแต่จะระบุไว้เป็นอย่างอื่นต่อไปนี้เป็นมาตรฐานเดวิส
นอกจากนี้การเปลี่ยนแปลงของพารามิเตอร์แลตทิซของเมทริกซ์ของแข็ง-ปริมาณของแข็งที่เกี่ยวข้องกับระดับของการตกตะกอน ความแตกต่างระหว่างค่าพารามิเตอร์ของเมทริกซ์แลตทิซก่อนและหลังการรักษาความร้อนชั่วโมงใน 870 อุณหภูมิ ◦ ซี ≈ มันคือความรู้สึกของอารมณ์ เมื่อเทียบกับการเปลี่ยนแปลงของพารามิเตอร์แลตทิซ ≈ หลังจากการรักษาความร้อน 0.0015 10.5 H ภายใต้ 700 อุณหภูมิเชิงเส้น ◦ C และพบว่าการตกตะกอนของδเฟสลดลงอย่างเห็นได้ชัดที่อุณหภูมินี้อูล
โดยการออกแบบ IN655 เป็นหนึ่ง-เครื่องบดทองe ความแข็งแรงส่วนใหญ่มาจากการเสริมสร้างความเข้มแข็งของโมลิบดีนัมไนโอเบียมและโครเมียม ผลประโยชน์e เนื่องจากการสูญเสียของโมลิบดีนัมและไนโอเบียมในเมทริกซ์ที่คาดว่าจะลดความแข็งแรงการก่อตัวของการตกตะกอนสามารถชดเชยการลดลงนี้และเพิ่มความแข็งแรงโดยรวม ตัวอย่างเช่นการปลอม in625 ถึงความแข็งสูงสุดหลังจาก 700-170 อุณหภูมิการรักษาความร้อน ◦ ซีซี ใช่แล้วมันเป็นส่วนใหญ่เนื่องจากการตกตะกอนของรังสีแกมมาและสารตั้งต้นของδเฟส ในทํานองเดียวกันการตกตะกอนของδเฟสยังเพิ่มความแข็งแรงโดยรวมและลดความเหนียวของ 9137-937 ยา ผลของการรักษาความร้อนต่อสมบัติเชิงกลของเป็น in625 ต้องประเมินอย่างเป็นระบบในช่วงอุณหภูมิที่แน่นอนเชื้อสาย
ในการรักษาความร้อนเซลล์ของδเฟสยังเปลี่ยนไป รูปห้าแสดงให้เห็นถึงการเปลี่ยนแปลงนี้ สองของทั้งสามตั้งฉากกับตารางทำงานพารามิเตอร์เกือบคงที่ ≈ 5.108 เท่า ≈ มันเป็น 4.232 ตามลำดับ พารามิเตอร์แลตทิซที่สามแสดงจาก ≈ 4.482 ≈ 4.488 เท่า การจัดแนวแกนยาวและปิดเฟสδรู้จัก-เติมทิศทางของ FCC เมทริกซ์และคริสตัลปฐมนิเทศระหว่าง FCC เมทริกซ์และδเฟสตาม 123111 FCC//δและ FCC//สำหรับ ดังนั้นเราจึงสรุปได้ว่าการแพร่กระจายของ NB และ Mo ยังเป็นทิศทาง เนื่องจากโมกระจายจากเมทริกซ์เพื่อδเฟสช้ากว่า nb 919392 เช่นทิศทางการแพร่กระจายอาจส่งผลในการเปลี่ยนแปลงทางเคมีของδเฟสและเพิ่มปริมาณของแบตเตอรี่ต่อหน่วยดังแสดงในรูป
รูปห้า เวลาขึ้นอยู่กับสามพารามิเตอร์แลตทิซของเดลต้าเฟสตกตะกอนได้จากการวัดค่าอุณหภูมิของ 700 XRD ในแหล่งกำเนิด ◦ ปริมาณเซลล์เดี่ยวที่มีเงินฝากδเฟสเชื้อสาย
ในระหว่างการรักษาความร้อนเท่ากันในแหล่งกำเนิด saxs ข้อมูลที่ได้จากปริมาณตัวอย่างเดียวกันยังมีหน้าต่างเพื่อตรวจสอบการเปลี่ยนแปลงทางสถิติที่สำคัญในโครงสร้างจุลภาคของวัสดุ รูป 6 แสดงชุดข้อมูลที่สมบูรณ์ของข้อมูลที่เป็นแกนหลักและข้อมูลที่แสดงในรูป เพื่อให้สอดคล้องกันการกระจายข้อมูลเป็นสี-รหัสโดยใช้สีเดียวกันเป็นข้อมูล XRD ในรูป 3 มีสามคุณสมบัติที่โดดเด่นของการกระจายข้อมูล ครั้งแรกสำหรับต่ำมาก-ข้อมูลบางส่วนกระจาย ≈ 1-x-10 − ดำขลับ − ถึง ≈ 4-x-10 − ดำขลับ − เราสังเกตุเห็นพลัง-กฎหมายของความชันที่ไม่เปลี่ยนแปลงกับเวลา เราคุณลักษณะนี้เพื่ออนุภาค การกระเจิงซึ่งคล้ายกับการศึกษาก่อนหน้านี้ของนิกเกิล-ตามด้วยอลูมิเนียมอุณหภูมิสูงผสม ยาสำหรับฉัน เมื่ออุณหภูมิต่ำกว่าอุณหภูมิ 900 เม็ดเติบโตน้อยที่สุดใน in625 ◦ สำหรับ ดังนั้นการกระจายของอนุภาคที่คาดว่าจะคงที่ซึ่งสอดคล้องกับผลการทดลอง ประการที่สองเราสังเกตการเพิ่มขึ้นอย่างน่าเบื่อหน่ายในความเข้มของการกระเจิงระหว่างสองวัสดุ ≈ 4-x-10 − ดำขลับ − หนึ่ง ≈ 0.01 เทียม − หนึ่งโดยเฉพาะอย่างยิ่งมีสองภูมิภาคของเวอร์จิเนียใกล้ 2-x-10 − หมุน − 1 และ 8 ×× 10 − หมุน − มันเป็น 1 เนื่องจากข้อมูล XRD ในแหล่งกำเนิดและไม่ใช่แหล่งกำเนิดภาพแสดงเพียงδเฟสตกตะกอนเราคุณลักษณะการกระจายสัญญาณδเฟส การศึกษากล้องจุลทรรศน์ก่อนหน้านี้ได้ระบุว่าδเฟสตกตะกอนเป็นเกล็ดเลือด 9110 44421-21 –ซึ่งสอดคล้องกับผลการสังเกตของทั้งสองจินนี่ภูมิภาคในการกระจายข้อมูล สุดท้ายข้อมูลที่แสดงในภาพประกอบเป็นส่วนขยายที่เรียบง่ายของพลังงานสูง-กฎของความชันใน USAXS ข้อมูล ตัวอย่างเช่นข้อมูลแซ็กส์ไม่ได้มีข้อมูลเพิ่มเติมซึ่งบ่งชี้ว่าไม่มี NM เพิ่มเติม-การตกตะกอนที่เกิดขึ้นในระหว่างการรักษาความร้อน
รูปที่หก ในแหล่งกำเนิด saxs ข้อมูลที่ได้จากการรักษาความร้อนอุณหภูมิ isothermic เป็น in625 700 ◦ แผนภูมิหลักและภาพประกอบแสดงข้อมูลและข้อมูล usaxs แซ็กตามลำดับ เวลาในการเก็บรวบรวมสี-รหัสตามลูกศรเวลา ความแข็งแรงของ USAXS สำหรับกรีด-รอยเปื้อนเชื้อสาย
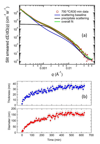
เราได้สร้างแบบจำลองเพื่ออธิบายการกระจายข้อมูลจากการสังเกตเหล่านี้ตามที่แสดงในรูปเจ็ด ข้อมูลที่ได้จากการทดลองภาคสนาม 630 นาทีเป็นตัวอย่างรูปแบบประกอบด้วยสองส่วน องค์ประกอบแรกคือการกระจายพื้นฐานที่ได้รับการกระจายพื้นฐานที่อุณหภูมิห้องก่อนการรักษาความร้อน องค์ประกอบที่สองแสดงถึงการกระจายมากเกินไปของδเฟสตกตะกอน ตามที่อธิบายไว้ก่อนหน้านี้ 9121 93s เราใช้วิธีการวิเคราะห์ที่คล้ายกับเครื่องแบบขนาดเล็กมุมกระจายวิธีการที่มีสองระดับของการกระจาย สองคนนี้-รูปแบบส่วนประกอบที่อธิบายถึงข้อมูลในเว็บไซต์ของแซ็กซ์ผ่านลำดับข้อมูลทั้งหมดเชื้อสาย
รูปเจ็ด ไอคอนของแซ็กซ์รุ่นที่ใช้ในงานนี้ ข้อมูลที่ได้จาก 630 มินในการรักษาความร้อนของ 700 อุณหภูมิ ◦ ซีครอบคลุมการกระจายประกอบด้วยสองส่วนพื้นฐานและการกระจายของδตะกอน เวลาที่กำหนด-วิวัฒนาการที่เกี่ยวข้องกับค่าเฉลี่ยเส้นผ่าศูนย์กลางขนาดใหญ่และความหนาของตะกอนδเชื้อสาย

ตำแหน่งงาน: Product manager
แผนก: Market Department
โทรศัพท์ บริษัท: +86 021-59150215
E-mail: ติดต่อเรา
โทรศัพท์มือถือ: +86 13817160919
เว็บไซต์: lanzhusuperalloy.daiinfo.com
ที่อยู่: No. 2800 Caoxin Road, Xuhang Town, Jiading District, Shanghai